Việc lựa chọn công suất thang máy phù hợp là yếu tố then chốt để đảm bảo thang máy vận hành ổn định, an toàn và tiết kiệm năng lượng. Công suất không chỉ ảnh hưởng đến khả năng chịu tải mà còn quyết định tốc độ, hiệu suất và chi phí vận hành lâu dài của thang máy. Một công suất quá nhỏ có thể dẫn đến quá tải, hư hỏng sớm, trong khi công suất quá lớn lại gây lãng phí điện năng và chi phí đầu tư ban đầu.
Đối với các gia đình, chủ đầu tư nhà phố hay tòa nhà cao tầng, việc cân nhắc kỹ lưỡng công suất phù hợp giúp tối ưu hiệu quả sử dụng và ngân sách. Faralift cung cấp các dòng thang máy chuẩn công suất, đa dạng về tải trọng và tốc độ, đồng thời tư vấn chi tiết theo nhu cầu thực tế. Nhờ đó, khách hàng có thể lựa chọn giải pháp công suất thang máy tối ưu, vừa đảm bảo tiện nghi, vừa tiết kiệm chi phí vận hành.
Công suất thang máy là gì và tại sao quan trọng
Công suất thang máy là thông số kỹ thuật quan trọng thể hiện khả năng vận hành và chịu tải của thiết bị. Về cơ bản, công suất thang máy được tính dựa trên động cơ và hệ thống truyền động, quyết định khả năng nâng cabin cùng với tải trọng người hoặc hàng hóa theo tốc độ định sẵn. Ngoài ra, công suất còn liên quan trực tiếp đến mức tiêu thụ điện năng, hiệu suất hoạt động và tuổi thọ của thang máy.
Có hai loại công suất chính cần lưu ý: công suất động cơ và công suất tiêu thụ điện. Công suất động cơ xác định khả năng nâng cabin và chịu tải, còn công suất tiêu thụ điện phản ánh lượng năng lượng tiêu hao trong quá trình vận hành. Việc lựa chọn công suất phù hợp giúp đảm bảo thang máy vận hành ổn định, hạn chế tình trạng quá tải, giảm hư hỏng, đồng thời tiết kiệm chi phí điện năng và bảo trì.
Vai trò của công suất trong vận hành thang máy không thể xem nhẹ. Nếu công suất quá thấp so với tải trọng và số tầng phục vụ, cabin sẽ vận hành yếu, tốc độ chậm và dễ gây quá tải động cơ. Ngược lại, chọn công suất quá lớn sẽ khiến thiết bị tiêu tốn điện năng không cần thiết, dẫn đến chi phí vận hành tăng, đồng thời lãng phí ngân sách đầu tư ban đầu. Vì vậy, việc xác định công suất phù hợp là bước đầu tiên và quan trọng trong quá trình chọn thang máy.
Ngoài ra, công suất còn ảnh hưởng đến tuổi thọ và hiệu suất của toàn bộ hệ thống. Một động cơ có công suất phù hợp với tải trọng hoạt động lâu dài sẽ ít bị hao mòn, hạn chế hỏng hóc và giảm chi phí bảo trì. Đồng thời, hiệu suất vận hành tối ưu giúp thang máy di chuyển mượt mà, giảm rung lắc và tăng sự an toàn cho người sử dụng. Đây cũng là lý do nhiều gia đình và chủ đầu tư tòa nhà quan tâm đến thông số này khi quyết định lắp thang máy.

Faralift là một trong những nhà cung cấp thang máy chú trọng vào công suất chuẩn và hiệu suất cao, đáp ứng nhu cầu đa dạng từ thang máy gia đình nhỏ gọn đến thang máy tải khách, tải hàng trong các công trình lớn. Các dòng sản phẩm của Faralift đều được thiết kế với động cơ chuẩn công suất, đảm bảo vận hành ổn định và tiết kiệm điện năng. Đội ngũ kỹ sư của Faralift luôn tư vấn chi tiết về tải trọng, số tầng, tốc độ và lựa chọn công suất phù hợp cho từng công trình cụ thể, giúp khách hàng tối ưu chi phí đầu tư mà vẫn đảm bảo tiện nghi và an toàn.
Lựa chọn công suất thang máy đúng chuẩn cũng đồng nghĩa với việc giảm thiểu rủi ro trong quá trình sử dụng. Faralift không chỉ cung cấp thiết bị đạt tiêu chuẩn quốc tế mà còn hỗ trợ khảo sát công trình, phân tích nhu cầu và đưa ra giải pháp công suất tối ưu. Khách hàng khi hợp tác với Faralift có thể yên tâm rằng thang máy sẽ vận hành mượt mà, tải trọng phù hợp, hạn chế hao mòn và giảm chi phí vận hành lâu dài.
Như vậy, việc hiểu rõ công suất thang máy là gì và vai trò của nó giúp chủ đầu tư, gia đình hay chủ tòa nhà đưa ra quyết định đúng đắn khi lựa chọn thiết bị. Công suất chuẩn không chỉ đảm bảo hiệu suất vận hành và tuổi thọ thang máy mà còn giúp tiết kiệm chi phí điện năng và bảo trì, đồng thời mang lại trải nghiệm sử dụng an toàn và tiện nghi. Faralift, với kinh nghiệm nhiều năm trong ngành, là đối tác uy tín đồng hành cùng khách hàng trong việc lựa chọn thang máy chuẩn công suất, tối ưu chi phí và nâng cao hiệu quả sử dụng.
Các yếu tố ảnh hưởng đến công suất thang máy
Việc xác định công suất thang máy phù hợp không chỉ dựa vào thông số kỹ thuật của động cơ mà còn phụ thuộc vào nhiều yếu tố liên quan đến công trình và nhu cầu sử dụng. Hiểu rõ các yếu tố này giúp chủ đầu tư lựa chọn thiết bị phù hợp, vận hành ổn định và tiết kiệm chi phí lâu dài.
Tải trọng thang máy
Tải trọng là yếu tố quan trọng nhất ảnh hưởng đến công suất thang máy. Thang máy phải đủ khả năng nâng cabin cùng số người hoặc hàng hóa tối đa mà không làm giảm tốc độ hoặc quá tải động cơ. Thang máy gia đình thường có tải trọng từ 250–450 kg, phù hợp 2–6 người, trong khi thang tải khách hoặc thang tải hàng tại tòa nhà, chung cư có thể lên đến 1.000–2.500 kg hoặc hơn. Khi xác định tải trọng, chủ đầu tư cần cân nhắc cả nhu cầu hiện tại và khả năng tăng số lượng người sử dụng trong tương lai.
Faralift luôn tư vấn cụ thể về tải trọng theo công năng sử dụng, đảm bảo động cơ không hoạt động quá sức nhưng vẫn vận hành hiệu quả, an toàn và tiết kiệm điện năng.
Chiều cao tầng và số tầng phục vụ
Chiều cao của công trình và số tầng mà thang máy phục vụ ảnh hưởng trực tiếp đến công suất cần thiết. Thang máy phục vụ nhiều tầng hoặc di chuyển khoảng cách cao sẽ tiêu tốn nhiều năng lượng hơn, yêu cầu động cơ có công suất lớn hơn để duy trì tốc độ và hiệu suất ổn định. Ngoài ra, việc dừng và khởi động nhiều lần trong hành trình cũng ảnh hưởng đến độ bền của động cơ và mức tiêu thụ điện.
Faralift hỗ trợ khách hàng tính toán chính xác công suất dựa trên số tầng, chiều cao hành trình và tải trọng dự kiến, từ đó đưa ra phương án động cơ tối ưu, hạn chế hao phí năng lượng và tăng tuổi thọ thiết bị.
Tốc độ thang máy
Tốc độ vận hành của thang máy là yếu tố then chốt ảnh hưởng đến công suất. Thang máy gia đình thường có tốc độ từ 0,3–1 m/s, trong khi thang tải khách hoặc tải hàng cao tầng có thể lên đến 2–3 m/s. Tốc độ càng cao, động cơ cần công suất lớn hơn để nâng cabin kịp thời, đồng thời đảm bảo hoạt động êm ái, không rung lắc. Việc lựa chọn công suất phù hợp với tốc độ giúp thang máy vận hành mượt mà và hạn chế tiêu hao năng lượng.
Faralift cung cấp giải pháp tùy chỉnh tốc độ và công suất, giúp khách hàng cân đối giữa hiệu suất vận hành, tiết kiệm điện năng và chi phí đầu tư.
Loại thang máy
Mỗi loại thang máy có yêu cầu công suất khác nhau: thang máy gia đình nhỏ gọn cần công suất thấp; thang tải khách tại chung cư hoặc văn phòng yêu cầu công suất trung bình; thang tải hàng, tải trọng lớn đòi hỏi động cơ mạnh và hạ tầng riêng. Lựa chọn đúng loại thang máy giúp công suất động cơ phù hợp với nhu cầu, giảm hao mòn và chi phí vận hành.
Faralift cung cấp đa dạng dòng thang máy từ gia đình, khách sạn đến tải hàng, mỗi loại được tư vấn công suất chuẩn theo công năng và số tầng phục vụ.
Hiệu suất động cơ và hệ thống truyền động
Hiệu suất của động cơ và hệ thống truyền động ảnh hưởng trực tiếp đến công suất thang máy thực tế. Động cơ hiệu suất cao giúp nâng cabin dễ dàng, tiết kiệm điện năng và giảm hư hỏng. Các hệ thống truyền động khác nhau, như cáp kéo, thủy lực hay trục vít, cũng quyết định công suất tiêu thụ và khả năng vận hành mượt mà.
Faralift sử dụng động cơ và hệ thống truyền động chất lượng cao, đạt tiêu chuẩn quốc tế, đảm bảo công suất vận hành tối ưu, phù hợp với tải trọng và tốc độ mong muốn.
Thiết kế hố thang, cabin và vật liệu
Thiết kế hố thang, cabin và vật liệu cũng tác động đến công suất cần thiết. Cabin nặng, vật liệu cao cấp, hay hố thang dài sẽ tăng trọng lượng và yêu cầu công suất động cơ cao hơn để duy trì tốc độ và ổn định. Chủ đầu tư cần cân nhắc giữa vật liệu thẩm mỹ và khả năng chịu tải, tránh lựa chọn thiết kế làm tăng công suất vượt mức cần thiết.
Faralift tư vấn thiết kế cabin và vật liệu hợp lý, vừa đảm bảo thẩm mỹ, vừa tối ưu công suất, giúp thang máy vận hành ổn định, tiết kiệm năng lượng và giảm chi phí vận hành lâu dài.
Cách tính công suất thang máy
Việc xác định công suất thang máy chính xác là bước quan trọng để đảm bảo thang máy vận hành ổn định, an toàn và tiết kiệm điện năng. Công suất thang máy thường được tính dựa trên tải trọng cabin, tốc độ vận hành, chiều cao tầng và hệ số an toàn. Hiểu rõ cách tính công suất giúp chủ đầu tư lựa chọn thiết bị phù hợp, tránh tình trạng quá tải hoặc lãng phí năng lượng.
Công thức cơ bản tính công suất động cơ
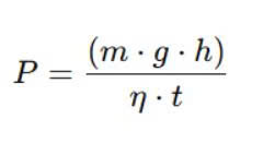
Công suất động cơ thang máy (P) có thể tính bằng công thức cơ bản:

Trong đó:
- m là tải trọng cabin (bao gồm người hoặc hàng hóa, tính theo kg).
- g là gia tốc trọng trường (9,81 m/s²).
- h là chiều cao di chuyển của cabin (m).
- t là thời gian di chuyển (s).
- η là hệ số hiệu suất của động cơ (tùy thuộc vào loại truyền động và động cơ).
Công thức này cho phép tính sơ bộ công suất động cơ cần thiết để cabin di chuyển từ tầng thấp đến tầng cao mà không bị quá tải, đồng thời đảm bảo tốc độ mong muốn.
Lựa chọn công suất động cơ theo loại thang và số tầng
Các loại thang máy khác nhau sẽ yêu cầu công suất khác nhau:
- Thang máy gia đình: tải trọng nhỏ, số tầng ít, tốc độ trung bình. Công suất thường từ 1–5 kW, đủ đáp ứng nhu cầu sử dụng hàng ngày.
- Thang máy tải khách: phục vụ nhiều tầng, số người lớn, tốc độ cao hơn. Công suất cần từ 5–15 kW hoặc hơn, tùy theo tải trọng và chiều cao công trình.
- Thang máy tải hàng: tải trọng lớn, cabin nặng, tốc độ vừa phải. Công suất động cơ thường từ 15–50 kW, đảm bảo vận hành ổn định và an toàn.
Faralift cung cấp các dòng thang máy đa dạng, từ thang gia đình nhỏ gọn đến thang tải khách và tải hàng, mỗi loại được tư vấn công suất phù hợp với công trình thực tế. Điều này giúp khách hàng lựa chọn thiết bị vừa đủ công suất, hạn chế lãng phí năng lượng, đồng thời tăng tuổi thọ động cơ.
Lưu ý khi chọn công suất động cơ
Khi tính toán công suất, chủ đầu tư nên chú ý các yếu tố sau:
- Dư tải: chọn công suất có dự phòng 10–20% so với tải trọng tối đa để động cơ hoạt động nhẹ nhàng, giảm hao mòn.
- Tiết kiệm điện năng: động cơ quá lớn so với nhu cầu sẽ tiêu tốn điện năng không cần thiết.
- Tuổi thọ động cơ: công suất phù hợp giúp giảm rung lắc, tăng tuổi thọ và hạn chế chi phí bảo trì.
- Hiệu suất truyền động: cần tính đến hệ số hiệu suất của động cơ, cáp kéo, hộp số hoặc hệ thống thủy lực để đảm bảo công suất thực tế đủ.
Faralift tư vấn kỹ lưỡng các yếu tố này, giúp khách hàng lựa chọn công suất chính xác, vận hành ổn định và tiết kiệm chi phí điện năng lâu dài.
Ví dụ minh họa Faralift
Một thang máy gia đình Faralift có tải trọng 350 kg, phục vụ 4 tầng, tốc độ 0,6 m/s. Sau khi tính toán theo công thức và hệ số hiệu suất, động cơ lựa chọn có công suất 3,7 kW, đủ để nâng cabin cùng tải trọng tối đa mà vẫn vận hành êm ái, tiết kiệm điện.
Tương tự, thang máy biệt thự Faralift với tải trọng 450 kg, tốc độ 1 m/s và 5 tầng, sẽ được trang bị động cơ 5 kW. Công suất này được tối ưu để vận hành ổn định, hạn chế hao mòn, đồng thời tiết kiệm chi phí bảo trì và điện năng trong suốt quá trình sử dụng.
Hiểu cách tính công suất thang máy giúp chủ đầu tư lựa chọn thiết bị phù hợp, tiết kiệm năng lượng và tối ưu chi phí vận hành. Faralift với kinh nghiệm lâu năm trong ngành cung cấp giải pháp tính toán công suất chính xác, tư vấn động cơ, tốc độ và tải trọng phù hợp với từng công trình, đảm bảo thang máy vận hành êm ái, an toàn và bền bỉ.
Các loại công suất thang máy phổ biến trên thị trường
Trên thị trường hiện nay, công suất thang máy được phân loại theo loại thiết bị, tải trọng và nhu cầu sử dụng. Hiểu rõ các loại công suất phổ biến giúp chủ đầu tư, gia đình hay doanh nghiệp lựa chọn thang máy phù hợp, đảm bảo vận hành ổn định, an toàn và tiết kiệm điện năng.

Thang máy gia đình
Thang máy gia đình thường có tải trọng nhỏ, từ 250–450 kg, phục vụ từ 2–6 người. Vì cabin nhẹ và số tầng ít, động cơ sử dụng công suất nhỏ, thường từ 1–5 kW, vừa đủ để nâng cabin với tải trọng tối đa mà vẫn vận hành êm ái.
Công suất nhỏ giúp tiết kiệm điện năng, giảm chi phí vận hành và hạn chế hao mòn động cơ. Đây là lý do nhiều hộ gia đình lựa chọn thang máy gia đình với động cơ chuẩn công suất. Tuy nhiên, nhược điểm là nếu tải trọng cabin thường xuyên đạt tối đa, động cơ sẽ phải làm việc liên tục, có thể giảm tuổi thọ nếu không được bảo trì đúng định kỳ.
Faralift cung cấp các dòng thang máy gia đình với công suất được tính toán chính xác, phù hợp với nhu cầu thực tế, đảm bảo vận hành ổn định, tiết kiệm điện năng và nâng cao tuổi thọ thiết bị.
Thang máy tải khách
Thang máy tải khách dùng trong chung cư, văn phòng hoặc khách sạn có tải trọng trung bình, từ 450–1.000 kg, phục vụ nhiều tầng và số lượng người lớn. Công suất động cơ thường từ 5–15 kW, đủ để cabin vận hành ổn định ngay cả khi tải tối đa và số tầng phục vụ nhiều.
Ưu điểm của loại này là khả năng phục vụ đông người, tốc độ cao và vận hành êm ái. Tuy nhiên, nhược điểm là mức tiêu thụ điện năng cao hơn thang máy gia đình, chi phí đầu tư và bảo trì cũng lớn hơn. Khi lựa chọn công suất, cần cân nhắc giữa nhu cầu sử dụng thực tế và hiệu suất tiêu thụ điện để tránh lãng phí.
Faralift cung cấp giải pháp thang tải khách với công suất tùy chỉnh theo số tầng và tải trọng, tư vấn động cơ chuẩn, đảm bảo hiệu suất vận hành tối ưu và tiết kiệm điện năng. Các dòng thang máy Faralift được thiết kế để giảm rung lắc, tiếng ồn, nâng cao trải nghiệm người dùng và tuổi thọ thiết bị.
Thang máy tải hàng
Thang máy tải hàng có tải trọng lớn, từ 1.000–2.500 kg hoặc hơn, phục vụ vận chuyển hàng hóa trong các kho, nhà xưởng, tòa nhà cao tầng. Công suất động cơ lớn, từ 15–50 kW, đảm bảo cabin di chuyển trơn tru ngay cả khi tải tối đa.
Ưu điểm là khả năng vận chuyển hàng hóa lớn, phù hợp với nhu cầu công nghiệp hoặc thương mại. Tuy nhiên, nhược điểm là chi phí đầu tư ban đầu cao, tiêu thụ điện lớn và cần hạ tầng hố thang riêng. Việc lựa chọn công suất phải dựa trên tải trọng tối đa, chiều cao di chuyển và tần suất sử dụng để tránh hao phí điện năng và giảm tuổi thọ động cơ.
Faralift cung cấp các dòng thang tải hàng với công suất động cơ chuẩn, tùy chỉnh theo nhu cầu khách hàng. Khách hàng có thể nhận tư vấn chi tiết về tải trọng, tốc độ, số tầng và hạ tầng công trình để lựa chọn công suất phù hợp, đảm bảo vận hành ổn định, an toàn và tiết kiệm chi phí lâu dài.
So sánh ưu nhược điểm và hiệu suất điện
Nhìn chung, thang máy gia đình có công suất nhỏ, tiết kiệm điện nhưng chỉ phù hợp số tầng ít và tải trọng nhẹ. Thang máy tải khách có công suất trung bình, phục vụ nhiều tầng, tốc độ cao, nhưng tiêu thụ điện năng lớn hơn. Thang máy tải hàng có công suất lớn, phục vụ nhu cầu công nghiệp, nhưng chi phí đầu tư và điện năng cao.
Faralift cung cấp giải pháp tối ưu cho từng loại, với công suất được tính toán chuẩn, động cơ hiệu suất cao, đồng thời tư vấn lựa chọn theo nhu cầu thực tế, giúp khách hàng cân đối giữa chi phí, hiệu suất và tiện nghi. Việc lựa chọn đúng công suất đảm bảo thang máy vận hành ổn định, tuổi thọ cao và tiết kiệm chi phí vận hành lâu dài.
Kinh nghiệm chọn công suất thang máy phù hợp
Việc lựa chọn công suất thang máy phù hợp là bước quan trọng để đảm bảo thang máy vận hành ổn định, an toàn và tiết kiệm chi phí. Nhiều chủ đầu tư hoặc gia đình thường chỉ quan tâm tới tải trọng cabin mà bỏ qua các yếu tố khác như số tầng, tốc độ vận hành hay hiệu suất động cơ, dẫn đến lựa chọn công suất chưa tối ưu. Hiểu rõ các kinh nghiệm chọn công suất sẽ giúp khách hàng tối ưu hóa ngân sách, giảm hao mòn thiết bị và tăng tuổi thọ thang máy.
Xác định nhu cầu thực tế
Trước khi lựa chọn công suất, cần phân tích kỹ nhu cầu sử dụng thực tế: số người thường xuyên sử dụng, tầng phục vụ, tốc độ mong muốn và loại thang máy (gia đình, tải khách hay tải hàng). Thang máy gia đình thường có tải trọng nhỏ, số tầng hạn chế, do đó công suất động cơ vừa phải là đủ. Ngược lại, thang máy tải khách hay tải hàng tại các tòa nhà cao tầng yêu cầu công suất lớn hơn để duy trì tốc độ và hiệu suất ổn định.
Faralift tư vấn chi tiết theo nhu cầu từng công trình, từ nhà phố, biệt thự đến tòa nhà thương mại. Đội ngũ kỹ sư khảo sát thực tế, đo đạc hố thang, tính toán tải trọng và số tầng để đưa ra công suất tối ưu, đảm bảo vận hành ổn định mà không dư thừa chi phí điện năng.

Chọn công suất động cơ dư tải
Một nguyên tắc quan trọng là chọn động cơ có công suất dư tải khoảng 10–20% so với tải trọng cabin tối đa. Việc này giúp động cơ vận hành nhẹ nhàng, giảm rung lắc và hao mòn trong quá trình sử dụng. Công suất dư cũng tạo sự an toàn khi cabin vận chuyển số người hoặc hàng hóa gần mức tối đa, hạn chế tình trạng quá tải hoặc quá sức động cơ.
Faralift luôn áp dụng nguyên tắc dư tải khi tư vấn công suất. Các dòng thang máy Faralift được thiết kế để cabin vận hành mượt mà ngay cả khi tải trọng tối đa, giúp tăng tuổi thọ động cơ, giảm chi phí bảo trì và hạn chế tiêu hao điện năng.
Lưu ý hiệu suất tiêu thụ điện và chi phí vận hành
Chọn công suất quá lớn so với nhu cầu thực tế sẽ gây lãng phí điện năng, làm tăng chi phí vận hành hàng tháng. Ngược lại, công suất quá nhỏ sẽ khiến động cơ hoạt động quá sức, tiêu thụ điện nhiều hơn, đồng thời giảm tuổi thọ thiết bị. Chủ đầu tư nên cân nhắc giữa công suất, tải trọng và tốc độ vận hành để tối ưu hiệu suất sử dụng và tiết kiệm điện năng.
Faralift cung cấp giải pháp động cơ và công suất tiêu chuẩn, đạt hiệu suất cao, giúp khách hàng cân đối giữa chi phí đầu tư ban đầu, chi phí điện năng và chi phí bảo trì. Tư vấn công suất chuẩn của Faralift đảm bảo thang máy vận hành êm ái, ổn định, tiết kiệm năng lượng mà vẫn đáp ứng nhu cầu sử dụng thực tế.
Tham khảo giải pháp Faralift
Faralift cung cấp đa dạng dòng thang máy với công suất được tính toán chuẩn theo loại thang, tải trọng và số tầng phục vụ. Khi khách hàng hợp tác với Faralift, đội ngũ kỹ sư khảo sát công trình, tính toán công suất tối ưu, đồng thời tư vấn về tốc độ, số tầng và vật liệu cabin để cân đối giữa hiệu suất, tuổi thọ thiết bị và chi phí vận hành.
Các dòng thang máy gia đình của Faralift thường có công suất từ 1–5 kW, đủ cho tải trọng 2–6 người. Thang tải khách có công suất trung bình từ 5–15 kW, phục vụ nhiều tầng và số người đông. Thang tải hàng yêu cầu động cơ lớn, 15–50 kW, đảm bảo vận hành trơn tru ngay cả khi tải trọng tối đa.
Lưu ý khi nâng cấp hoặc thay đổi công suất
Trong quá trình sử dụng, nếu nhu cầu tăng tải hoặc nâng số tầng, việc nâng cấp công suất là cần thiết. Tuy nhiên, nâng công suất không đúng cách có thể gây quá tải hạ tầng điện, ảnh hưởng tới tuổi thọ thang máy. Chủ đầu tư nên tham khảo giải pháp tư vấn từ nhà cung cấp uy tín như Faralift, khảo sát hiện trạng, đánh giá động cơ và hạ tầng trước khi điều chỉnh.
Ngoài ra, cần kết hợp bảo trì định kỳ để đảm bảo động cơ hoạt động ổn định, giảm hao mòn và tăng tuổi thọ thiết bị. Faralift cung cấp dịch vụ bảo trì trọn gói cho thang máy do đơn vị lắp đặt, giúp khách hàng yên tâm về vận hành lâu dài và tối ưu chi phí.
Xem thêm: Chi phí lắp thang máy và kinh nghiệm tối ưu ngân sách cho gia đình
Kết luận
Công suất thang máy là yếu tố cốt lõi quyết định đến sự ổn định, an toàn và chi phí vận hành lâu dài. Một thang máy có công suất phù hợp sẽ giúp động cơ hoạt động nhẹ nhàng, tiết kiệm điện năng, hạn chế hư hỏng và giảm chi phí bảo trì. Ngược lại, nếu chọn sai công suất, người dùng có thể gặp tình trạng quá tải, rung lắc hoặc lãng phí điện năng.
Khi lựa chọn công suất, chủ đầu tư nên dựa vào tải trọng cabin, số tầng, tốc độ mong muốn và nhu cầu sử dụng thực tế. Ngoài ra, nên ưu tiên chọn động cơ có dư tải 10–20% để đảm bảo tuổi thọ và vận hành an toàn.
Faralift khuyến nghị khách hàng không nên chỉ nhìn vào giá thành khi lựa chọn, mà cần tính toán kỹ lưỡng công suất phù hợp với công trình. Với kinh nghiệm nhiều năm trong lĩnh vực, Faralift cung cấp các giải pháp tối ưu, từ thang máy gia đình nhỏ gọn đến thang tải khách và tải hàng công suất lớn, đảm bảo chất lượng chuẩn châu Âu và dịch vụ tư vấn tận tâm.
————————————
CÔNG TY CỔ PHẦN THANG MÁY FARALIFT
Địa chỉ: Tầng 1, Tòa nhà Green Diamond, 93 Láng Hạ, Đống Đa, Hà Nội
Hotline: 0888 335 656
E-mail: info@thangmayfaralift.com
Website: https://thangmayfaralift.com
Youtube: https://www.youtube.com/@Thangmayfaralift
Facebook: https://www.facebook.com/thangmayfaralift
Tumblr: https://www.tumblr.com/thangmayfaralift
Pinterest: https://www.pinterest.com/Thangmayfaralift/
X: https://x.com/faraliftvn
